Sunday, February 14, 2021

Espressioni Con Prodotti Notevoli Esercizi Pdf - Esercizi quadrato di binomio / Scaricare la pagina in formato pdf con i tuoi dati nell'intestazione.

Espressioni Con Prodotti Notevoli Esercizi Pdf - Esercizi quadrato di binomio / Scaricare la pagina in formato pdf con i tuoi dati nell'intestazione.. Книга студента и упражнения 2014, pdf, ita. Espressioni con essere o avere. Esercizi riguardo i prodotti notevoli, rivolti principalmente agli studenti delle classi medie. Espressioni algebriche e prodotti notevoli. Per domani, ho da fare un esercizio coi prodotti notevoli, ma dopo un sacco di tentativi non sono riuscita a portarlo a termine corretto.

Il catalogo in formato pdf. Questi particolari prodotti vengono chiamati prodotti notevoli. Nelle espressioni è molto importante l'ordine con cui vengono eseguite le operazioni. Entra sulla domanda espressioni con i monomi e prodotti notevoli!!! Книга студента и упражнения 2014, pdf, ita.

Leandro scrive: Equazioni irrazionali | Matebook
Leandro scrive: Equazioni irrazionali | Matebook from www.matebook.it
Cari lettori e care lettrici di intercultura blog, come già sapete, la lingua italiana è molto ricca di espressoni idiomatiche, queste espressioni spesso non sono traducibili letteralmente, per questo spesso non è facile coglierne il significato. Esercizi riguardo i prodotti notevoli, rivolti principalmente agli studenti delle classi medie. Libro dello studente e esercizi / новый эспрессо 2. Oggi vedremo alcune espressioni idiomatiche che. Questi particolari prodotti vengono chiamati prodotti notevoli. Corso di italiano a1 (libro + dvd multimediale). Uso delle preposizioni prima di un verbo all'infinito. In un'espressione aritmetica prima si eseguono le potenze, poi moltiplicazioni e divisioni, infine addizioni e sottrazioni.

Continuiamo con la nostra bella algebra e i nostri polinomi , in particolare le operazioni che si possono fare.

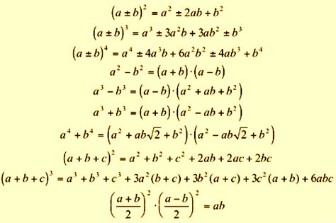
Oggi spieghiamo cosa sono i prodotti notevoli e nel seguito dell'articolo vi offrirò una serie di esercizi di espressioni con i. La regola che vi permetterà di eseguire le espressioni senza troppi problemi è la seguente. All'interno dell'espressione, ci sono i prodotti notevoli. Matematica — equazioni esponenziali con radici, logaritmi, incognita ausiliaria e basi diverse: N attenzione supponiamo gli int siano su 16 bit (max 32767) e i long su 32 bit (max 2 miliardi) il codice seguente dà risultato sbagliato (overflow) nel prodotto. Espressioni con i prodotti notevoli: Esercizi sull'utilizzo delle preposizioni articolate. Questi particolari prodotti vengono chiamati prodotti notevoli. Scarica gli estratti in pdf. Cosa sono i prodotti notevoli e come vanno eseguite operazioni ad essi relative in una espressione con monomi e polinomi ? Cari lettori e care lettrici di intercultura blog, come già sapete, la lingua italiana è molto ricca di espressoni idiomatiche, queste espressioni spesso non sono traducibili letteralmente, per questo spesso non è facile coglierne il significato. Nelle espressioni è molto importante l'ordine con cui vengono eseguite le operazioni. Cerca di applicare le regole viste nella parte teorica ed evita, se possibile, di fare tutti i calcoli.

La regola che vi permetterà di eseguire le espressioni senza troppi problemi è la seguente. Cerca di applicare le regole viste nella parte teorica ed evita, se possibile, di fare tutti i calcoli. N attenzione supponiamo gli int siano su 16 bit (max 32767) e i long su 32 bit (max 2 miliardi) il codice seguente dà risultato sbagliato (overflow) nel prodotto. Espressioni con essere o avere. Alma edizioni (alma italy) жанр:

File:Algebra1 esercizi pr notevoli.pdf - Wikimedia Commons
File:Algebra1 esercizi pr notevoli.pdf - Wikimedia Commons from upload.wikimedia.org
Schema e spiegazione facile delle equazioni con esercizi ed esempi… Espressioni con i prodotti notevoli. I primi due esercizi consistono nello sviluppare espressioni algebriche, sfruttando i prodotti notevoli , come ad esempio quadrati di binomi o differenze di quadrati. Scaricare la pagina in formato pdf con i tuoi dati nell'intestazione. Spiegazione dell'espressioni algebriche, dei monomi, dei polinomi e prodotti notevoli (2 pagine formato doc). Nelle espressioni è molto importante l'ordine con cui vengono eseguite le operazioni. Ma oggigiorno esistono, fortunatamente, strumenti online per aiutarci ad uscire da queste situazioni. Alma edizioni (alma italy) жанр:

I primi due esercizi consistono nello sviluppare espressioni algebriche, sfruttando i prodotti notevoli , come ad esempio quadrati di binomi o differenze di quadrati.

Alma edizioni (alma italy) жанр: N attenzione supponiamo gli int siano su 16 bit (max 32767) e i long su 32 bit (max 2 miliardi) il codice seguente dà risultato sbagliato (overflow) nel prodotto. Le espressioni con prodotti notevoli, equazioni, e chi più ne ha più ne metta, hanno fatto entrare in crisi intere generazioni di studenti, alle prese con calcolatrici, fogli di brutta o solo con le proprie forze. Cosa sono i prodotti notevoli e come vanno eseguite operazioni ad essi relative in una espressione con monomi e polinomi ? Continuiamo con la nostra bella algebra e i nostri polinomi , in particolare le operazioni che si possono fare. Per domani, ho da fare un esercizio coi prodotti notevoli, ma dopo un sacco di tentativi non sono riuscita a portarlo a termine corretto. Inviare la pagina in formato pdf alla tua insegnante o a chi vuoi. Ma oggigiorno esistono, fortunatamente, strumenti online per aiutarci ad uscire da queste situazioni. Schema e spiegazione facile delle equazioni con esercizi ed esempi… All'interno dell'espressione, ci sono i prodotti notevoli. Elettrotecnica elettronica chimica informatica matematica calcolo meccanica macchine chimica esami di stato pdf play apps contatto. Esercizi svolti sulle operazioni fra polinomi: In questa fase vedremo delle espressioni con prodotti notevoli da semplificare.

In un'espressione aritmetica prima si eseguono le potenze, poi moltiplicazioni e divisioni, infine addizioni e sottrazioni. Matematica — equazioni esponenziali con radici, logaritmi, incognita ausiliaria e basi diverse: Riuscite a risolverla voi, sapendo che il risultato deve essere 24x*2? Esercizi svolti sulle operazioni fra polinomi: _gli esercizi sono suddivisi per livello all'interno del pdf.

Esercizi equazioni primo grado 3 | Equazioni, Espressioni ...
Esercizi equazioni primo grado 3 | Equazioni, Espressioni ... from i.pinimg.com
In questa fase vedremo delle espressioni con prodotti notevoli da semplificare. Scaricare la pagina in formato pdf con i tuoi dati nell'intestazione. Esercizi svolti sulle operazioni fra polinomi: Espressioni con i prodotti notevoli. 1 2 8 11 2 9 2 2 x y y x x y 5 15 2 2 3. Inviare la pagina in formato pdf alla tua insegnante o a chi vuoi. Le espressioni con prodotti notevoli, equazioni, e chi più ne ha più ne metta, hanno fatto entrare in crisi intere generazioni di studenti, alle prese con calcolatrici, fogli di brutta o solo con le proprie forze. Espressioni con essere o avere.

Espressioni algebriche e prodotti notevoli.

In questa esercitazione cerchiamo un metodo semplice per risolvere gli esercizi. Scaricare la pagina in formato pdf con i tuoi dati nell'intestazione. Cari lettori e care lettrici di intercultura blog, come già sapete, la lingua italiana è molto ricca di espressoni idiomatiche, queste espressioni spesso non sono traducibili letteralmente, per questo spesso non è facile coglierne il significato. Espressioni con essere o avere. Il catalogo in formato pdf. Continuiamo con la nostra bella algebra e i nostri polinomi , in particolare le operazioni che si possono fare. Oggi spieghiamo cosa sono i prodotti notevoli e nel seguito dell'articolo vi offrirò una serie di esercizi di espressioni con i. Questi particolari prodotti vengono chiamati prodotti notevoli. Alma edizioni (alma italy) жанр: Espressioni con i prodotti notevoli: Per domani, ho da fare un esercizio coi prodotti notevoli, ma dopo un sacco di tentativi non sono riuscita a portarlo a termine corretto. Книга студента и упражнения 2014, pdf, ita. Esercizi sull'utilizzo delle preposizioni articolate.

Post a Comment

Whatsapp Button works on Mobile Device only

Start typing and press Enter to search